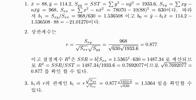
그림 1: 선형회귀모형의 적합



이전    다음